欢迎进入东营市继续教育协会
  首页   >   职称评审   >   公布文件

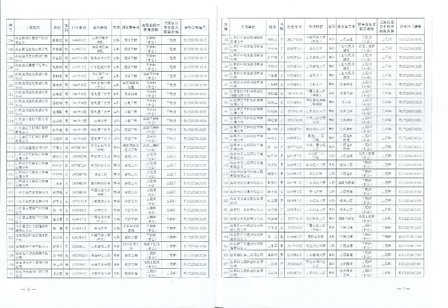
关于公布2017年度东营市非公有制企业专业技术职务资格衔接过渡认定结果的通知

2020-01-14

 

  • 网校首页
  • 关于我们
  • 联系我们
  • 意见反馈
  • 帮助中心

欢迎光临东营市继续教育平台,总点击量

东营市继续教育协会

地址:山东省东营市南一路290号就业创业服务中心1803

电话:0546-6079188

技术支持热线:0531-68961879

技术支持:山东大众云学教育科技有限公司

鲁ICP备2021003806号